基本信息:
中文名稱 2,6-二氯-3-羥甲基吡啶
中文別名 (2,6-二氯-3-吡啶)甲醇;
英文名稱 (2,6-dichloropyridin-3-yl)methanol
英文別名 (2,6-dichloro-3-pyridinyl)methanol;WT1275;2,6-dichloro-3-hydroxymethylpyridine;2,6-dichloro-3-pyridinemethanol;2,6-Dichlor-3-hydroxymethyl-pyridin;(2,6-dichloro-pyridin-3-yl)-methanol;
CAS號(hào) 55304-90-0
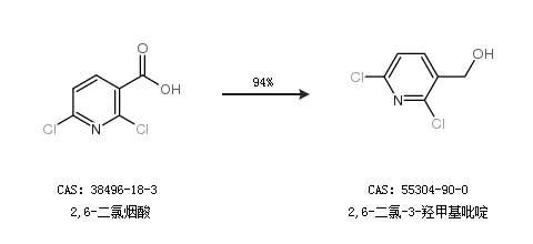
合成路線:
1.通過2,6-二氯煙酸合成2,6-二氯-3-羥甲基吡啶,收率約94%;

2.通過2,6-二氯-3-吡啶甲醛合成2,6-二氯-3-羥甲基吡啶,收率約98%;

中華試劑網(wǎng)提醒:合成路線僅供參考