基本信息:
中文名稱 2,3-二甲基-6-溴喹噁啉
英文名稱 6-Bromo-2,3-dimethylquinoxaline
英文別名 2,3-dimethyl-7-bromoquinoxaline;2,3-dimethyl-6-bromoquinoxaline;Quinoxaline,6-bromo-2,3-dimethyl;6-bromo-2,3-dimethyl-quinoxaline;6-Brom-2,3-dimethylchinoxalin;
CAS號(hào) 18470-23-0
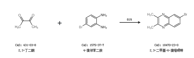
合成路線:
1.通過(guò)2,3-丁二酮和4-溴鄰苯二胺合成2,3-二甲基-6-溴喹噁啉,收率約81%;

2.通過(guò)4-溴-2-硝基苯胺合成2,3-二甲基-6-溴喹噁啉

中華試劑網(wǎng)提醒:合成路線僅供參考