基本信息:
中文名稱(chēng) 5-氨基間苯二甲酸
中文別名 5-氨基異酞酸;5-氨基苯-1,3-二羧酸;5-氨基苯-1,3-二羧酸(5-氨基間苯二甲酸);5-氨基異鄰苯二甲酸;
英文名稱(chēng) 5-Aminoisophthalic acid
英文別名 5-aminobenzene-1,3-dicarboxylic acid;
CAS號(hào) 99-31-0
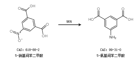
合成路線:
1.通過(guò)5-硝基間苯二甲酸合成5-氨基間苯二甲酸,收率約96%;

2.通過(guò)5-硝基間苯二甲酸和碳黑合成5-氨基間苯二甲酸

合成路線僅供參考