基本信息:
中文名稱 2-吡啶甲酸
中文別名 皮考林酸;2-皮考啉酸;吡啶-2-羧酸;吡啶-2-甲酸;2-吡啶羧酸;
英文名稱 picolinic acid
英文別名 2-acid pyridine;2-pyridinecarboxylic acid;2-Carboxypyridine;Picolinic acid;pyridine-2-carboxylic acid;acidepicolique;
CAS號 98-98-6
合成路線:
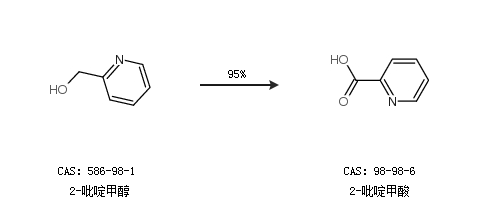
1.通過2-吡啶甲醇合成2-吡啶甲酸,收率約95%;

2.通過2-甲基吡啶合成2-吡啶甲酸,收率約94%;

中華試劑網(wǎng)提醒:合成路線僅供參考