基本信息:
中文名稱 1,4-二乙炔基苯
中文別名 對苯二乙炔;1,4-二乙炔苯;
英文名稱 1,4-Diethynylbenzene
英文別名 para-diethynylbenzene;Benzene,p-diethynyl-(7CI,8CI);Benzene,1,4-diethynyl;1,4-diacetylenebenzene;Diethynylbenzene;1,4-Diethynyl-benzene;p-Diethynylbenzene;1,4-phenylene-diacetylene;
CAS號 935-14-8
合成路線:
1.通過1,4-雙[(三甲基硅基)乙炔基]苯合成1,4-二乙炔基苯,收率約99%;

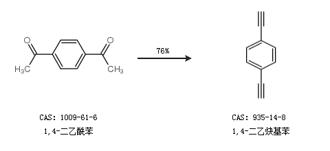
2.通過1,4-二乙酰苯合成1,4-二乙炔基苯,收率約76%;

中華試劑網(wǎng)提醒:合成路線僅供參考