基本信息:
中文名稱 3羥基-4-硝基聯(lián)苯
中文別名 4-羥基-3-硝基聯(lián)苯;3-硝基聯(lián)苯-4-醇;2-硝基-4-苯基苯酚;
英文名稱 4-Hydroxy-3-nitrobiphenyl
英文別名 2-nitro-4-phenylphenol;
CAS號 885-82-5
合成路線:
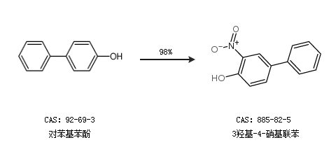
1.通過對苯基苯酚合成3羥基-4-硝基聯(lián)苯,收率約98%;

2.通過4-溴-2-硝基苯酚和苯硼酸合成3羥基-4-硝基聯(lián)苯,收率約93%;

合成路線僅供參考