基本信息:
中文名稱 輔酶 A
中文別名 COASH,輔酶甲;輔酶甲;4-氨基嘧啶并咪唑/輔酶A;4-氨基嘧啶并咪唑;輔酶甲,CO-A;輔酶A;
英文名稱 coenzyme A
英文別名 Coalip;Aluzime;Thiol-CoA;CONENZYME A;Lucina;COA-SH;Coenzyme A;
CAS號 85-61-0
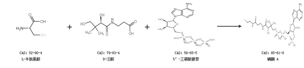
合成路線:
1.通過L-半胱氨酸和5’-三磷酸腺苷合成輔酶 A

2.通過L-半胱氨酸、D-泛酸和5’-三磷酸腺苷合成輔酶 A

中華試劑網(wǎng)提醒:合成路線僅供參考