基本信息:
中文名稱 3-硝基鄰二甲苯
中文別名 3-硝基-1,2-二甲苯;1,2-二甲苯-3-硝基苯;1,2-二甲基-3-硝基苯;3-硝基-1,2-二甲苯,1,2-二甲基-3-硝基苯;2,3-二甲基硝基苯;2,3-二甲基硝基苯;
英文名稱 3-Nitro-o-xylene
英文別名 2-METHYL-3-NITROTOLUENE;3-Nitro-o-xylol;3-nitro-ortho-xylene;2,3-dimethylnitrobenzene;dimethylnitrobenzene;ortho-Nitroxylene;o-Xylene,3-nitro;m-Nitro-o-xylene;1,2-dimethyl-3-nitro-benzene;nitro-o-xylene;3-NITRO-2-XYLENE;
CAS號(hào) 83-41-0
合成路線:
1.通過鄰二甲苯合成3-硝基鄰二甲苯,收率約61%;

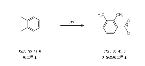
2.通過鄰二甲苯合成3-硝基鄰二甲苯,收率約34%;

中華試劑網(wǎng)提醒:合成路線僅供參考