基本信息:
中文名稱 1-茚酮
中文別名 α-二氫茚酮;1-茚滿酮;1-二氫茚酮;Α-二氫茚酮;1-二氫茚酮;1-二茚酮;
英文名稱 indan-1-one
英文別名 Indone;INDANONE;cis-indanone;1-OXOINDAN;1-Indone;1-INDENONE;IDO;1-Indanone;1-oxo-2,3,dihydroinden;1,3-dihydro-1-oxo-2H-indene;I-Indanone;1-oxo-indane;2,3-dihydro-1-1H-indenone;Indan-1-one;
CAS號 83-33-0
合成路線:
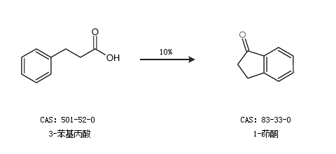
1.通過3-苯基丙酸合成1-茚酮,收率約10%;

2.通過1-羥基茚滿合成1-茚酮,收率約97%;

中華試劑網(wǎng)提醒:合成路線僅供參考