基本信息:
中文名稱 氫化雙酚A
中文別名 2,2-雙(4-羥基環(huán)己基)丙烷;氫化雙酚 A;2,2-雙哌啶;2,2-雙-(4-羥基環(huán)己基)丙烷;4,4’-(1-甲基亞乙基)雙環(huán)己醇;4,4''-(1-甲基亞乙基)雙環(huán)己醇;p,p''-二羥基-2,2-二環(huán)己基丙烷;
英文名稱 4,4''-(Propane-2,2-diyl)dicyclohexanol
英文別名 4-[2-(4-hydroxycyclohexyl)propan-2-yl]cyclohexan-1-ol;
CAS號(hào) 80-04-6
合成路線:
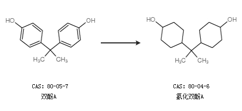
1.通過雙酚A合成氫化雙酚A

2.通過雙酚A合成氫化雙酚A

合成路線僅供參考