基本信息:
中文名稱 4,4''-二氨基苯酰替苯胺
中文別名 4,4''-二胺苯甲酰苯胺;4,4-二氨基苯甲酰替苯胺;4,4’-二氨基苯酰替苯胺;4,4’-二氨基苯甲酰替苯胺;4,4''-二氨基苯甲酰苯胺;4,4''-二氨基-苯甲酰苯胺;4、4''-二氨基苯酰替苯胺;
英文名稱 4,4''-Diaminobenzanilide
英文別名 4-amino-N-(4-aminophenyl)benzamide;
CAS號 785-30-8
合成路線:
1.通過氯化對硝基苯甲酰合成4,4''-二氨基苯酰替苯胺

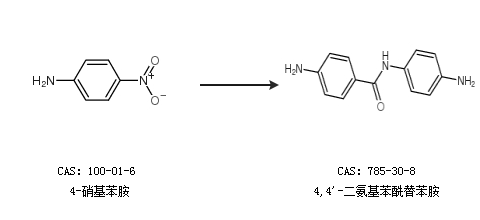
2.通過4-硝基苯胺合成4,4''-二氨基苯酰替苯胺

中華試劑網提醒 合成路線僅供參考