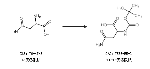
基本信息:
中文名稱 BOC-L-天冬酰胺
中文別名 Nα-(叔丁氧羰基)-L-天冬酰胺;N-(Alpha)-Boc-L-天冬酰氨酸;N-叔丁氧羰基-L-天冬酰胺;叔丁氧羰基-天冬酰胺;叔丁氧羰基-L-天冬酰胺;Boc-天冬酰胺;Nα-Boc-L-天冬酰胺;
英文名稱 Nα-t-butoxycarbonyl-L-asparagine
英文別名 N-Boc-Asparagine;Boc-L-Asn-OH;tert-Butoxycarbonylasparagine;Boc-Asn-OH;N-(tert-Butoxycarbonyl)-L-asparagine;(2S)-4-amino-2-[(2-methylpropan-2-yl)oxycarbonylamino]-4-oxobutanoic acid;N(alpha)-t-butoxycarbonyl-L-asparagine;BOC-ASPARAGINE;N-BOC-L-asparagine;Nalpha-Boc-L-asparagine;Nalpha-(tert-Butoxycarbonyl)-L-asparagine;Boc-Asn;Boc-L-asparagine;
CAS號(hào) 7536-55-2
合成路線:
1.通過L-天冬酰胺合成BOC-L-天冬酰胺,收率約91%;

2.通過L-天冬酰胺合成BOC-L-天冬酰胺

合成路線僅供參考