基本信息:
中文名稱 L-精氨酸
中文別名 L-(+)-精氨酸;L-蛋白氨基酸;L-(+)-精氨酸;(S)-2-氨基-5-胍基戊酸;鳥氨酸;2-氨基-5-胍基戊酸;L- 精氨酸;胍基戊氨酸;
英文名稱 L-arginine
英文別名 L(+)-Arginine;l-arginin;H-ARG-OH;L-ARG-OH;ARG;L-ARG;L-arginie;AGRININE;H-L-ARG-OH;L-Arginine;L-Argnie;FEMA 3819;
CAS號(hào) 74-79-3
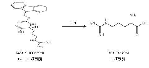
合成路線:
1.通過Fmoc-L-精氨酸合成L-精氨酸,收率約92%;

2.通過Nα-CBZ-Nω-硝基-L-精氨酸合成L-精氨酸,收率約11%;

合成路線僅供參考