基本信息:
中文名稱 尿酸
中文別名 7,9-二氫-2,6,8(3H)三酮-1H-嘌呤;2,6,8-三羥基尿雜環(huán);2,6,8-三羥基嘌呤;脲酸;2,6,8-三羥嘌呤;
英文名稱 7,9-dihydro-1H-purine-2,6,8(3H)-trione
英文別名 uric acid;7,9-Dihydro-1H-purine-2,6,8(3H)-trione;7,9-dihydro-3H-purine-2,6,8-trione;Lithic acid;1H-Purine-2,6,8(3H)-trione,7,9-dihydro;2,6,8-trihydroxypurine;1H-Purine-2,6,8-triol;urate;2,6,8-trioxypurine;2,6,8-Trioxopurine;[14C]-Uric acid;[3H]-Uric acid;
CAS號 69-93-2
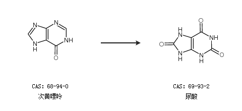
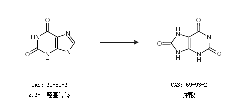
合成路線:
1.通過次黃嘌呤合成尿酸

2.通過2,6-二羥基嘌呤合成尿酸

合成路線僅供參考