基本信息:
中文名稱 2,4,6-三氯苯胺
中文別名 均三氯苯胺;1-氨基-2,4,6-三氯苯;2,4,6-三氯苯胺;
英文名稱 2,4,6-Trichloroaniline
英文別名 2,4,6-Trichlor-anilin;2,4,6-Trichlorophenylamine;2,3-DIHYDROBENZO[1,4]DIOXINE-5-CARBONYL CHLORIDE 0.98;1-amino-2,4,6-trichlorobenzene;Aniline,2,4,6-trichloro;Benzenamine,2,4,6-trichloro;s-Trichloroaniline;2,4,6-trichloraniline;2,4,6-trichloro-aniline;sym-Trichloroaniline;2,4,6-Trichlorobenzenamine;
CAS號(hào) 634-93-5
合成路線:
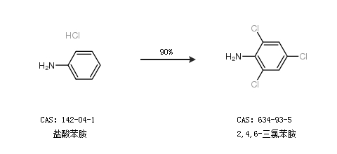
1.通過(guò)鹽酸苯胺合成2,4,6-三氯苯胺,收率約90%;

2.通過(guò)鄰氯苯胺合成2,4,6-三氯苯胺,收率約38%;

合成路線僅供參考