基本信息:
中文名稱(chēng) 已二酰二胺
中文別名 己二酰二胺;己二酰胺;
英文名稱(chēng) hexanediamide
英文別名 Adipic acid diamide;adipic acid bisamide;Adipinsaeurediamid;HSDB 5510;Adipic diamide;Adipamide;1,4-Butanedicarboxamide;CCRIS 5883;Adipic acid amide;
CAS號(hào) 628-94-4
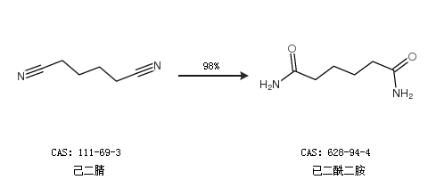
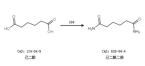
合成路線:
1.通過(guò)己二腈合成已二酰二胺,收率約98%;

2.通過(guò)己二酸合成已二酰二胺,收率約16%;

合成路線僅供參考