基本信息:
中文名稱 3-乙基苯酚
中文別名 間乙基苯酚;1-乙基-3-羥基苯;
英文名稱 3-Ethylphenol
英文別名 Benzene,1-ethyl-3-hydroxy;Phenol,3-ethyl;Phenol,m-ethyl;3-Aethyl-phenol;m-Ethylphenol;1-Hydroxy-3-ethylbenzene;1-Ethyl-3-hydroxybenzene;3-ethyl-phenol;meta-Ethylphenol;3-ethylphenole;
CAS號 620-17-7
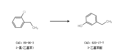
合成路線:
1.通過3-羥基苯基乙炔合成3-乙基苯酚,收率約95%;

2.通過2-氯(乙基苯)合成3-乙基苯酚

合成路線僅供參考