基本信息:
中文名稱 2,4-二氯-6-硝基苯酚
英文名稱 2,4-Dichloro-6-nitrophenol
英文別名 4,6-Dichloro-2-nitrophenol;2,4-Dichlor-6-nitrofenol;2,4-dichloro-6-nitro-phenol;2,4,5-TRIFLUOROBENZOICACID METHYL ESTER;4.6-Dichlor-2-nitro-1-hydroxy-benzol;EINECS 210-202-2;2,4-Dichlor-6-nitro-phenol;2-nitro-4,6-dichlorophenol;6-nitro-2,4-dichlorophenol;Phenol,2,4-dichloro-6-nitro;
CAS號 609-89-2
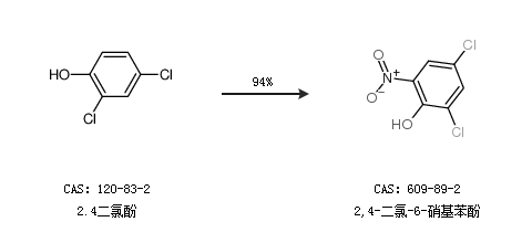
合成路線:
1.通過2.4二氯酚合成2,4-二氯-6-硝基苯酚,收率約94%;

2.通過鄰硝基苯酚合成2,4-二氯-6-硝基苯酚,收率約17%;

中華試劑網(wǎng)提醒:合成路線僅供參考