基本信息:
中文名稱 2,4,6-三碘苯酚
中文別名 三碘苯酚;
英文名稱 2,4,6-Triiodophenol
英文別名 2,4,6-Trijodfenol;EINECS 210-186-7;Phenol,2,4,6-triiodo;2,4,6-triIPhOH;2,3-DIHYDROXYL QUINOXALINE;Phenol,4,6-triiodo;2,4,6-triiodo-phenol;2,4,6-Trijodfenol [Czech];2,6-Triiodophenol;triiodo-2,4,6 phenol;
CAS號 609-23-4
合成路線:
1.通過苯酚合成2,4,6-三碘苯酚,收率約98%;

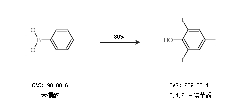
2.通過苯硼酸合成2,4,6-三碘苯酚,收率約80%;

中華試劑網(wǎng)提醒:合成路線僅供參考