基本信息:
中文名稱 順式-烏頭酸
中文別名 順-烏頭酸;順式-1,2,3-丙烯三羧酸;烏頭酸,順式;順式烏頭酸;順烏頭酸;
英文名稱 1-Propene-1,2,3-tricarboxylic acid, cis-
英文別名 CIS-ACONITIC ACID;ACONITIC ACID,CIS;cis-Citridic acid;cis-propene-1,2,3-tricarboxylic acid;Propen-1t,2,3-tricarbonsaeure;propene-1t,2,3-tricarboxylic acid;cis-Aconic acid;cis-Oxaloacetic acid;cis-Aconitate;cis-Aconitsaeure;cis-aconitic;FEMA 2010;
CAS號 585-84-2
合成路線:
1.通過順式烏頭酸酐和3-甲氧基丙胺合成順式-烏頭酸

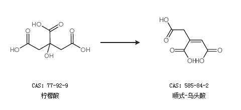
2.通過檸檬酸合成順式-烏頭酸

合成路線僅供參考