基本信息:
中文名稱 L-谷氨酰胺
中文別名 (S)-2,5-二氨基-5-氧代戊酸;L-氨羰基丁氨酸;L-2-氨基戊二酸酰胺;L-谷氨酸-5-酰胺;L-(+)-谷氨酰胺/2-氨基戊二酸;L-麩氨酰胺;左谷酰胺;L-谷胺酰胺;
英文名稱 L-glutamine
英文別名 ;L-(+)-Glutamine;Pentanoic acid, 2,5-diamino-5-oxo-, (S)-;
CAS號(hào) 56-85-9
合成路線:
1.通過(guò)Fmoc-L-谷氨酰胺合成L-谷氨酰胺,收率約99%;

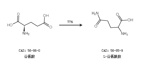
2.通過(guò)谷氨酸合成L-谷氨酰胺,收率約77%;

合成路線僅供參考