基本信息:
中文名稱(chēng) N-Boc-D-蛋氨酸
中文別名 Boc-D-蛋氨酸;叔丁氧羰-D-蛋氨酸;N-(叔丁氧羰基)-D-蛋氨酸;N-叔丁氧羰基-D-蛋氨酸;N-叔丁氧羰基-D-蛋氨酸;
英文名稱(chēng) N-Boc-D-methionine
英文別名 BOC-D-Methionine;N-(tert-Butoxycarbonyl)-D-Methionine;N-Boc-D-Methionine;Boc-D-Met-OH;(2R)-2-[(2-methylpropan-2-yl)oxycarbonylamino]-4-methylsulfanylbutanoic acid;
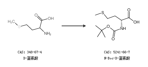
CAS號(hào) 5241-66-7
合成路線:
1.通過(guò)D-蛋氨酸合成N-Boc-D-蛋氨酸,收率約97%;

2.通過(guò)D-蛋氨酸合成N-Boc-D-蛋氨酸

中華試劑網(wǎng)提醒:合成路線僅供參考