基本信息:
中文名稱 BOC-D-色氨酸
中文別名 Nα-Boc-D-tryptophan;N(Alpha)-Boc-D-色氨酸;N-叔丁氧羰基-D-色氨酸;N-(叔丁氧羰基)-D-色氨酸;叔丁氧羰基-D-色氨酸;N-Boc-D-色氨酸;
英文名稱 (2R)-3-(1H-indol-3-yl)-2-[(2-methylpropan-2-yl)oxycarbonylamino]propanoic acid
英文別名 N-(tert-Butoxycarbonyl)-D-tryptophan;N-Boc-R-tryptophan;D-N-Boc-trytophan;Nalpha-Boc-D-Tryptophane;N-Boc-D-tryptophan;Boc-D-tryptophan;BOC-D-TRYPTOPHANE;N-BOC-L-Tryptophane;Boc-D-Trp-OH;tert-butyloxycarbonyl-D-tryptophan;Nalpha-Boc-D-tryptophan;
CAS號(hào) 5241-64-5
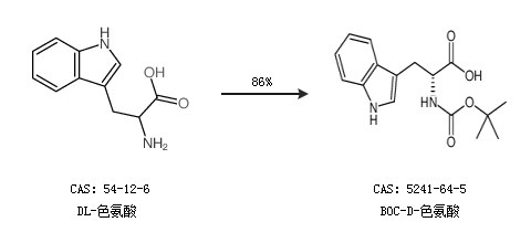
合成路線:
1.通過(guò)DL-色氨酸合成BOC-D-色氨酸,收率約96%;

2.通過(guò)DL-色氨酸合成BOC-D-色氨酸,收率約86%;

中華試劑網(wǎng)提醒:合成路線僅供參考