基本信息:
中文名稱 醋酸氟氫可的松
中文別名 醋酸腐氫可的松;甲醇中氟氫可的松;[2-[(9S)-9-Fluoro-11,17-dihydroxy-10,13-dimethyl-3-oxo-1,2,6,7,8,11,12,14,15,16-decahydrocyclopenta[a]phenanthren-17-yl]-2-oxo-ethyl] acetate;
英文名稱 fludrocortisone acetate
英文別名 Fludrocortisone Acetate;Fludrocortisone acetate;
CAS號(hào) 514-36-3
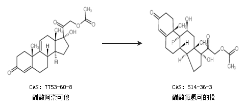
合成路線:
1.通過(guò)21-乙酰氧基-9Β,11Β-環(huán)氧-17Alpha-羥基孕甾-4-烯-3,20-二酮合成醋酸氟氫可的松

2.通過(guò)醋酸阿奈可他合成醋酸氟氫可的松

合成路線僅供參考