基本信息:
中文名稱 堿性紅 2
中文別名 3,7-二氨基-2,8-二甲基-5-苯基酚嗪翁氯化物;藏紅T;番紅花紅T;番紅 O;臧紅T;堿性桃紅/藏紅T/番紅O;堿性紅2;藏紅 T;藏紅 O;沙黃;堿性藏紅花;沙黃:番紅O;藍光藏紅花;鹽基桃紅;
英文名稱 3,7-dimethyl-10-phenylphenazin-10-ium-2,8-diamine,chloride
英文別名 Safranine-O chloride;Safranine O;3,7-Diamino-2,8-dimethyl-5-phenylphenazin-5-ium chloride;Safranin T;Gossypimine;Hidaco safranine;Safranin Y or A;Safranine O,certified;Safranine T;Tolusafranine;BASIC RED 2;Safranine;Safranine O,high purity biological stain;Basic Red 2,Cotton Red,Gossypimine;Safranin O;Safranin;
CAS號 477-73-6
合成路線:
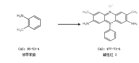
1.通過鄰甲苯胺合成堿性紅 2

2.通過2,5-二氨基甲苯合成堿性紅 2

中華試劑網(wǎng)提醒:合成路線僅供參考