基本信息:
中文名稱 2-氟-4-硝基苯甲醚
中文別名 2-氟-1-甲基-4-硝基苯;2-氟-4-硝基茴香醚;
英文名稱 2-Fluoro-4-nitroanisole
英文別名 2-Fluoro-1-methoxy-4-nitrobenzene;2-fluoro-1-methoxy-4-nitrobenzene;2-Fluoro-4-Nitroanisole;
CAS號(hào) 455-93-6
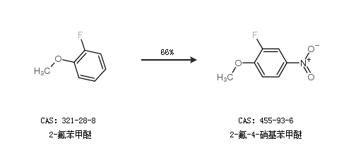
合成路線:
1.通過(guò)甲醇和3,4-二氟硝基苯合成2-氟-4-硝基苯甲醚,收率約91%;

2.通過(guò)2-氟苯甲醚合成2-氟-4-硝基苯甲醚,收率約66%;

合成路線僅供參考