基本信息:
中文名稱 2-氟-5-硝基甲苯
英文名稱 2-Fluoro-5-nitrotoluene
英文別名 1-Fluoro-2-methyl-4-nitrobenzene;Toluene,2-fluoro-5-nitro;4-fluoro-3-methylnitrobenzene;1-fluoro-2-methyl-4-nitro-benzen;Fluoronitrotoluene;Fluoronitrotoluene2;2-Fluoro-5-nitrotluene;1-Fluoro-2-me-4-nitrobenzene;3-methyl-4-fluoronitrobenzene;2-fluoro-5-nitro-toluene;2-Methyl-4-nitrofluorobenzene;
CAS號 455-88-9
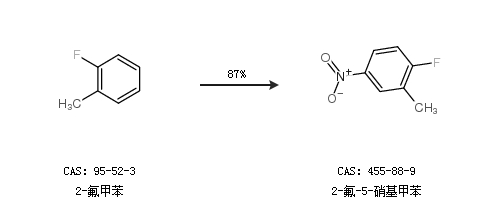
合成路線:
1.通過2-氯-5-硝基甲苯合成2-氟-5-硝基甲苯,收率約89%;

2.通過2-氟甲苯合成2-氟-5-硝基甲苯,收率約87%;

合成路線僅供參考