基本信息:
中文名稱 反,反-2,4-庚二烯醛
中文別名 庚二烯醛;2,4-庚二烯醛;(E,E)-2,4-庚二烯醛;
英文名稱 trans,trans-2,4-Heptadienal
英文別名 2,4-HEPTADIEN-1-AL;(2E,4E)-Hepta-2,4-dienal;trans,trans-2,4-Heptandienal;FEMA 3164;Heptadienal;2,4-HEPTADIENAL;trans,trans-hepta-2,4-dienal;T2 T4 HEPTADIENAL;2,4-Heptadienal;2-trans,4-trans-n-heptadienal;
CAS號 4313-03-5
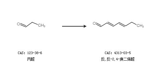
合成路線:
1.通過丙醛合成反,反-2,4-庚二烯醛

2.通過丙醛合成反,反-2,4-庚二烯醛

合成路線僅供參考