基本信息:
中文名稱 6-溴-4-羥基香豆素
英文名稱 6-bromo-4-hydroxychromen-2-one
英文別名 4-hydroxy-6-bromocoumarin;6-bromo-2-hydroxychromen-4-one;6-bromo-4-hydroxy-chromen-2-one;6-Bromo-4-hydroxy-2H-1-Benzopyran-2-one;6-Bromo-4-Hydroxycoumarin;6-bromo-4-hydroxy-2h-chromen-2-one;4-hydroxy-6-bromo-2H-1-benzopyran-2-one;
CAS號(hào) 4139-61-1
合成路線:
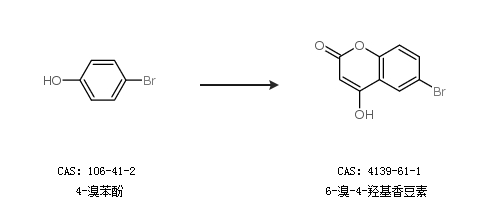
1.通過(guò)4-溴苯酚合成6-溴-4-羥基香豆素

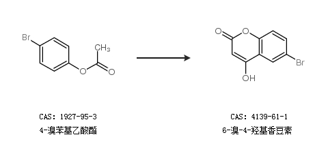
2.通過(guò)4-溴苯基乙酸酯合成6-溴-4-羥基香豆素

合成路線僅供參考