基本信息:
中文名稱 喹啉-6-甲醛
中文別名 6-喹啉甲醛;
英文名稱 6-Quinolinecarboxaldehyde
英文別名 6-Quinolinecarbaldehyde;Quinoline-6-carbaldehyde;quinoline-6-carbaldehyde;
CAS號(hào) 4113-04-6
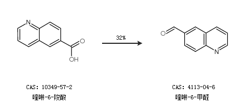
合成路線:
1.通過(guò)6-羥甲基喹啉合成喹啉-6-甲醛,收率約93%;

2.通過(guò)喹啉-6-羧酸合成喹啉-6-甲醛,收率約32%;

中華試劑網(wǎng)提醒:合成路線僅供參考