基本信息:
中文名稱 2-氨基-2''-甲基二苯基醚
中文別名 2-甲基-2''-氨基二苯醚;2-氨基苯基鄰甲苯醚;2-氨基-2-甲基二苯醚;2-甲基-2’-氨基二苯醚;2-(鄰甲苯氧基)苯胺;2-氨基-2''-甲基二苯醚;
英文名稱 2-(o-Tolyloxy)aniline
英文別名 2-Amino-2''-methyldiphenyl Ether;2-Aminophenyl o-tolyl ether;2-(O-TOLYLOXY)-ANILINE;2-(2-Methylphenoxy)aniline;2-Amino-2′-methyldiphenyl Ether;
CAS號 3840-18-4
合成路線:
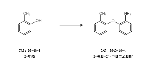
1.通過2-甲酚合成2-氨基-2''-甲基二苯基醚

2.通過鄰氯硝基苯合成2-氨基-2''-甲基二苯基醚

中華試劑網(wǎng)提醒:合成路線僅供參考