基本信息:
中文名稱 1,4-雙(二氟甲基)苯
中文別名 Alpha,Alpha,Alpha'',Alpha''-四氟-對二甲苯;α,α,α'',α''-四氟-對二甲苯;
英文名稱 1,4-Bis(difluoromethyl)benzene
英文別名 1,4-BIS(DIFLUOROMETHYL)BENZENE;p-Xylylene α,α,α'',α''-Tetrafluoride;α,α,α'',α''-Tetrafluoro-p-xylene;
CAS號 369-54-0
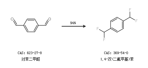
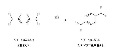
合成路線:
1.通過對苯二甲醛合成1,4-雙(二氟甲基)苯,收率約94%;

2.通過對四氯芐合成1,4-雙(二氟甲基)苯,收率約82%;

合成路線僅供參考