基本信息:
中文名稱 2-溴-5-氯三氟甲苯
中文別名 5-氯-2-溴三氟甲苯;2-溴-5-氯-α,α,α-三氟甲苯;
英文名稱 1-bromo-4-chloro-2-(trifluoromethyl)benzene
英文別名 2-Bromo-5-Chlorobenzotrifluoride;2-Bromo-5-chlorobenzotrifluoride;2-BROMO-5-CHOROBENZOTRIFLUORIDE;1-bromo-4-chloro-2-trifluoromethyl-benzene;1-Bromo-4-chloro-2-(trifluoromethyl)benzene;1-Brom-4-chlor-2-trifluormethyl-benzol;2-Bromo-5-chloro-α,α,α-trifluorotoluene;
CAS號(hào) 344-65-0
合成路線:
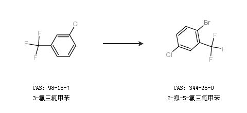
1.通過3-氯三氟甲苯合成2-溴-5-氯三氟甲苯

2.通過3-三氟甲基-4-溴苯胺合成2-溴-5-氯三氟甲苯

合成路線僅供參考