基本信息:
中文名稱 3,5-二叔丁基鄰苯醌
中文別名 3,5-二叔丁基-1,2-苯醌;3,5-二-叔-丁基鄰苯醌;3,5-二-叔丁基-1,2-苯醌;3,5-二-叔丁基-O-鄰苯二酚;
英文名稱 3,5-ditert-butylcyclohexa-3,5-diene-1,2-dione
英文別名 3,5-di-t-butyl-o-benzoquinone;o-Benzoquinone,3,5-di-tert-butyl;3,5-Di-tert-butyl-1,2-benzoquinone;3,5-Ditert-butylbenzo-1,2-quinone;3,5-Di-tert-butyl-o-benzoquinone;
CAS號 3383-21-9
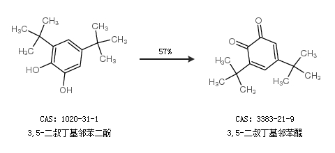
合成路線:
1.通過3,5-二叔丁基鄰苯二酚合成3,5-二叔丁基鄰苯醌,收率約99%;

2.通過3,5-二叔丁基鄰苯二酚合成3,5-二叔丁基鄰苯醌,收率約57%;

中華試劑網(wǎng)提醒:合成路線僅供參考