基本信息:
中文名稱 4-硝基兒茶酚
中文別名 4-硝基苯鄰二酚;1,2-二羥基-4-硝基苯;4-硝基-1,2-苯二酚;對硝基鄰苯二酚;4-硝基鄰苯二酚;
英文名稱 4-nitrocatechol
英文別名 1,2-dihydroxy-4-nitrobenzene;4-nitrobenzene-1,2-diol;[14C]-4-Nitrocatechol;NITROCATECHOL (MIX OF ISOMERS);4-Nitrobenzene-1,2-diol;4-Nitrocatechol;4-Nitropyrocatechol;3,4-dihydroxynitrobenzene;4-nitrocathecol;4-NITROPYROCATECHOL;1,2-Dihydroxy-4-nitrobenzene;4-Nitro-1,2-benzenediol;
CAS號 3316-09-4
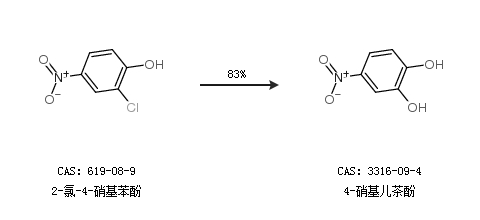
合成路線:
1.通過2-氯-4-硝基苯酚合成4-硝基兒茶酚,收率約83%;

2.通過5-硝基水楊醛合成4-硝基兒茶酚,收率約73%;

合成路線僅供參考