基本信息:
中文名稱 4,4,4-三氟-1-(2-呋喃基)-1,3-丁二酮
中文別名 4,4,4-三氟甲基-1-(2-呋喃基)-1,3-丁二酮;2-呋喃甲酰三氟丙酮;三氟-1-(2-呋喃基)-1,3-丁二酮;
英文名稱 1,3-Butanedione, 4,4,4-trifluoro-1-(2-furyl)-
英文別名 Furonyltrifluoroacetone;4,4,4-trifluoro-1-(furan-2-yl)butane-1,3-dione;4,4,4-Trifluoro-1-(furan-2-yl)butane-1,3-dione;1-(2-Furyl)-4,4,4-trifluoro-1,3-butanedione;Furoyltrifluoroacetone;2-Furoyltrifluoroacetonee;1,1,1-trifluoro-4-(furan-2-yl)-2,4-butadione;4,4,4-trifluoro-1-(furan-2-yl)-1,3-butanedione;4,4,4-trifluoro-1-(furan-2-yl)-1,3-butadione;1-(furan-2-yl)-4,4,4-trifluorobutane-1,3-dione;Perfluoroacetyl(2-furoyl)methane;4,4,4-Trifluoro-1-(2-furanyl)-1,3-butanedione;Furoyltrifluoroacetone~1-(2-Furyl)-4;1-(2-Furanyl)-4,4,4-trifluoro-1,3-butanedione;4,4,4-Trifluoro-1-(2-furyl)-1,3-butanedione;4,4,4-trifluoro-1-(2-furyl)-1,3-butanedione;2-(3-Oxo-4,4,4-trifluorobutanoyl)furan;4,4,4-trifluoro-1-(2-furanyl)-3-butanedione;
CAS號(hào) 326-90-9
合成路線:
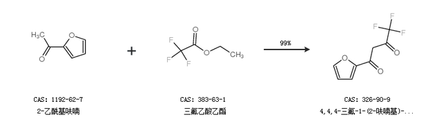
1.通過2-乙;秽腿宜嵋阴ズ铣4,4,4-三氟-1-(2-呋喃基)-1,3-丁二酮,收率約99%;

2.通過2-乙酰基呋喃合成4,4,4-三氟-1-(2-呋喃基)-1,3-丁二酮,收率約39%;

合成路線僅供參考