基本信息:
中文名稱 2-氨基-5-硝基嘧啶
英文名稱 5-nitropyrimidin-2-amine
英文別名 2-Pyrimidinamine,5-nitro;5-nitropyrimidin-2-amin;5-nitropyrimidine-2-ylamine;2-Amino-5-nitropyrimidine;5-Nitro-pyrimidin-2-ylamin;5-Nitro-pyrimidin-2-ylamine;
CAS號 3073-77-6
合成路線:
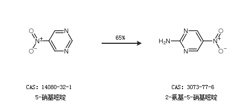
1.通過5-硝基嘧啶合成2-氨基-5-硝基嘧啶,收率約65%;

2.通過O-甲基異脲鹽酸鹽和5-硝基嘧啶合成2-氨基-5-硝基嘧啶,收率約49%;

中華試劑網(wǎng)提醒:合成路線僅供參考