基本信息:
中文名稱 5-乙烯基雙環(huán)[2.2.1]庚-2-烯
中文別名 5-乙烯基-2-降冰片烯;乙烯基降冰片烯;
英文名稱 5-VINYL-2-NORBORNENE
英文別名 2-Vinylnorbornene;5-Vinylnorbornene;endo-5-vinylbicyclo<2.2.1>hept-2-ene;VINYL BICYCLOHEPTENE;5-vinylnorborene;5-vinyl-2-norbornen;2-vinyl-5-norbornene;5-vinylnorbernene;5-vinylbicyclo[2.2.1]hept-2-ene;Vinylnorbornene;5-Vinylbicyclo[2.2.1]hept-2-ene;5-vinylbicyclo[2.2.1]hepta-2-ene;5-vinylnorborn-2-ene;5-Vinyl-2-norbornene;VBCH;5-Vinyl-2-norbornene,stabilized;
CAS號(hào) 3048-64-4
合成路線:
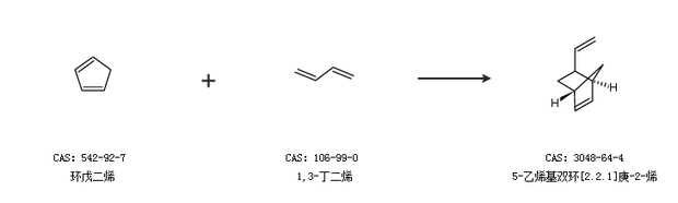
1.通過環(huán)戊二烯和1,3-丁二烯合成5-乙烯基雙環(huán)[2.2.1]庚-2-烯

2.通過環(huán)戊二烯合成5-乙烯基雙環(huán)[2.2.1]庚-2-烯

合成路線僅供參考