基本信息:
中文名稱 4-碘-4,-硝基聯(lián)苯
中文別名 4-碘-4''-硝基聯(lián)苯;4-碘-4''''-硝基聯(lián)苯;4-碘-4’-硝基聯(lián)苯;
英文名稱 1-(4-iodophenyl)-4-nitrobenzene
英文別名 4-iodod-4''-nitrobiphenyl;4-IODO-4′-NITROBIPHENYL;4-Iodo-4’-nitrobiphenyl;4-nitro-4''-iodo-biphenyl;4-Iodo-4''-nitro-1,1''-biphenyl;4-IODO-4''-NITROBIPHENYL;1-iodo-4-nitrobiphenyl;4-iodo-4''-nitro-biphenyl;4-Iodo-4-Nitrobiphenyl;
CAS號(hào) 29170-08-9
合成路線:
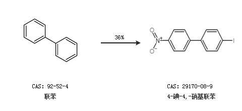
1.通過聯(lián)苯合成4-碘-4,-硝基聯(lián)苯,收率約36%;

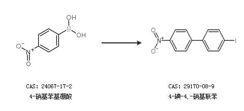
2.通過4-硝基苯基硼酸合成4-碘-4,-硝基聯(lián)苯

中華試劑網(wǎng)提醒:合成路線僅供參考