基本信息:
中文名稱 6-氟吲哚-3-甲醛
中文別名 6-氟代吲哚-3-氨基甲醛;
英文名稱 6-fluoro-1H-indole-3-carbaldehyde
英文別名 6-fluoroindole-3-aldehyde;6-fluoro-indole-3-carboxaldehyde;6-fluoroindole-3-carbaldehyde;6-Fluoroindole-3-carboxaldehyde;6-fluoro-1H-indole-3-carboxaldehyde;6-Fluoroindole-3-Carboxaldehyde;
CAS號 2795-41-7
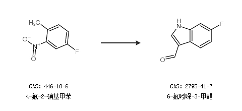
合成路線:
1.通過6-氟吲哚和N,N-二甲基甲酰胺合成6-氟吲哚-3-甲醛,收率約94%;

2.通過4-氟-2-硝基甲苯合成6-氟吲哚-3-甲醛

合成路線僅供參考