基本信息:
中文名稱 N-芐氧羰基-L-谷氨酰胺
中文別名 N-苯甲氧基-L-谷氨酸;芐氧羰基-L-谷氨酰胺;N-Cbz-L-谷氨酰胺;N(a)-芐氧羰基-L-谷氨酸;N-芐氧羰基-L-谷氨酸鹽;Cbz-L-谷氨酰胺;
英文名稱 (2S)-5-amino-5-oxo-2-(phenylmethoxycarbonylamino)pentanoic acid
英文別名 Cbz-L-Gln-OH;Carbobenzyloxy-L-glutamine;N-Benzyloxycarbonyl-L-glutamine;N-Cbz-glutamine;Z-L-Glutamine;N-carbobenzyloxy-L-glutamine;N-Cbz-L-glutamine;Z-Gln-OH;N-Carbobenzoxy-L-glutamine;N2-Carbobenzoxy-L-glutamine;(S)-5-Amino-2-(((benzyloxy)carbonyl)amino)-5-oxopentanoic acid;N-Carbobenzoxy-L-glutaMine;N-Carbobenzyloxy-L-glutamine;cbz-L-glutamine;
CAS號(hào) 2650-64-8
合成路線:
1.通過(guò)L-谷氨酰胺和氯甲酸芐酯合成N-芐氧羰基-L-谷氨酰胺,收率約85%;

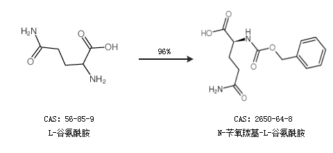
2.通過(guò)L-谷氨酰胺合成N-芐氧羰基-L-谷氨酰胺,收率約96%;

中華試劑網(wǎng)提醒:合成路線僅供參考