基本信息:
中文名稱 D-2-氨基丁酸
中文別名 D-氨基丁酸;(R)-(-)-2-氨基丁酸;D(-)-2-氨基丁酸;(R)-(-)-2-氨基正丁酸;
英文名稱 D-α-aminobutyric acid
英文別名 (R)-(-)-2-Aminobutyric acid;D-2-Aminobutyrate;D-2-Aminobutanoic acid;H-D-Aib-OH;(2R)-2-aminobutanoic acid;D-2-Aminobuttersaeure;(R)-(?)-2-Aminobutyric acid;R-(-)-2-amino-n-butyric acid;(-)-a-Aminobutyric acid;D-2-Aminobutyric acid;D(-)-2-Aminobutyric acid;H-D-Abu-OH;(R)-2-Aminobutanoic acid;(R)-(-)-2-Aminobutyric Acid;D-(-)-2-Aminobutyric acid;D-alpha-aminobutyric acid;
CAS號(hào) 2623-91-8
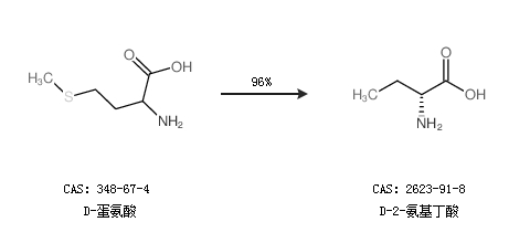
合成路線:
1.通過D-蛋氨酸合成D-2-氨基丁酸,收率約96%;

2.通過L-2-氨基丁酸合成D-2-氨基丁酸

合成路線僅供參考