基本信息:
中文名稱 4-丙烯氧基-2-羥基二苯甲酮
中文別名 4-烯丙氧基-2-羥基二苯甲酮;2-羥基-4-丙烯氧基二苯甲酮;4-烯丙氧基-2-羥基二苯甲酮;4-烯丙氧基-2-羥基苯并苯酮;
英文名稱 (2-hydroxy-4-prop-2-enoxyphenyl)-phenylmethanone
英文別名 2-Hydroxy-4-allyloxybenzophenon;2-hydroxy-4-prop-2-enyloxyphenyl phenyl ketone;(4-(Allyloxy)-2-hydroxyphenyl)(phenyl)methanone;4-ALLYLOXY-2-HYDROXYBENZOPHENONE;4-allyloxy-2-hydroxybenzophenone;
CAS號(hào) 2549-87-3
合成路線:
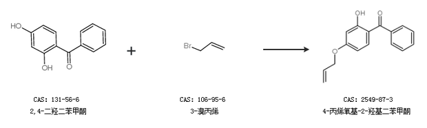
1.通過(guò)2,4-二羥二苯甲酮和3-溴丙烯合成4-丙烯氧基-2-羥基二苯甲酮

中華試劑網(wǎng)提醒:合成路線僅供參考