基本信息:
中文名稱 3-甲氧基丁醇
中文別名 3-甲氧基-1-丁醇;3-甲氧基-1-丁醇;3-甲氧丁醇;
英文名稱 3-Methoxy-1-butanol
英文別名 3-methoxybutyl alcohol;3-methoxy-1-butano;3-Methoxy-1-Butanol;1-Butanol,3-methoxy;3-Methoxybutan-1-ol;L-3-methoxy-1-butanol;3-methoxybutane-1-ol;3-METHOXY-N-BUTANOL;1,3-butyleneglycol monomethyl ether;Methoxybutanol;3-Methoxybutanol;3-methoxy-butan-1-ol;
CAS號(hào) 2517-43-3
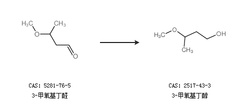
合成路線:
1.通過3-甲氧基丁醛合成3-甲氧基丁醇

2.通過4-甲基-1,3-二氧六環(huán)合成3-甲氧基丁醇

中華試劑網(wǎng)提醒 合成路線僅供參考