基本信息:
中文名稱 N-Boc-O-芐基-L-絲氨酸
中文別名 Boc-O-芐基-L-絲氨酸;叔丁氧羰基-L-絲酸芐脂;N-BOC-O-芐基-L-絲氨酸;N-(叔丁氧羰基)-O-芐基-L-絲氨酸;N-叔丁氧羰基-O-芐基-L-絲氨酸;叔丁氧羰基-L-絲氨酸芐醚;
英文名稱 N-[(1,1-Dimethylethoxy)carbonyl]-O-(phenylmethyl)-L-serine
英文別名 BOC-SER(TBU)-OH;N-BOC-O-Benzyl-L-serine;N-(tert-butyloxycarbonyl)-O-benzyl-L-serine;BOC-SER(BUT)-OH;L-N-(t-butoxycarbonyl)-O-(benzyl)serine;Boc-Ser(Bzl)-OH;N-(tert-Butoxycarbonyl)-O-benzyl-L-serine;N-BOC-O-Benzyl-L-ser;N-Boc-O-benzyl-L-serine;BOC-Ser (Obzl) OH;BOC-O-BENZYL-L-SER-OH;BOC-SERINE(TBU)-OH;BOC-L-SER(TBU)-OH;(S)-3-(Benzyloxy)-2-((tert-butoxycarbonyl)amino)propanoic acid;N-tert-butoxycarbonyl-O-benzyl-L-serine;BOC-SER(BU)-OH;Boc-L-Ser(OBzl)-OH;BOC-SER-OTBU;
CAS號 23680-31-1
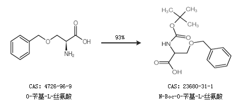
合成路線:
1.通過BOC-L-絲氨酸和溴化芐合成N-Boc-O-芐基-L-絲氨酸,收率約99%;

2.通過O-芐基-L-絲氨酸合成N-Boc-O-芐基-L-絲氨酸,收率約93%;

合成路線僅供參考