基本信息:
中文名稱 3,4-二氫-7-羥基-2(1H)-喹啉酮
中文別名 7-羥基-3,4-二氫喹諾酮;7-羥基-3,4-二氫喹諾酮;4-二氫-7-羥基-2(1H)-喹啉酮;7--3,4--3,4-二氫喹諾酮7-羥基-3,4;7-羥基-3,4-二氫;7-羥基-2(1H)-3,4-二氫喹啉酮;7-羥基-3,4-二氫-2(1H)-喹啉酮;3,4-二氫-7-羥基-21H-喹啉酮;3,4-二氫-7-羥基2(1H)-喹啉酮;7-羥基-3,4-二氫-2(1H)喹啉酮;
英文名稱 7-hydroxy-3,4-dihydro-1H-quinolin-2-one
英文別名 7-Hydroxy-3,4-dihydroquinolin-2(1H)-one;7-Hydroxy-3,4-dihydro carbostyril;7-Hydroxy-3,4-dihydro-2(1H)-quinolinone;7-Hydroxy-2-oxo-1,2,3,4-tetrahydroquinoline;7-hydroxy-3,4-dihydro-2-quinolinone;3,4-Dihydro-7-hydroxycarbostyril;7-Hydroxy-3,4-dihydro-quinolin-2-one;3,4-Dihydro-7-hydroxy-2(1H)-quinolinone;
CAS號(hào) 22246-18-0
合成路線:
1.通過N-(3-羥基苯基)-3-氯PIONYL 胺合成3,4-二氫-7-羥基-2(1H)-喹啉酮,收率約74%;

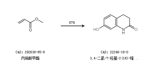
2.通過丙烯酸甲酯合成3,4-二氫-7-羥基-2(1H)-喹啉酮,收率約67%;

合成路線僅供參考