基本信息:
中文名稱 硫代異煙酰胺
中文別名 硫異煙酰胺;4-吡啶硫代酰胺;
英文名稱 pyridine-4-carbothioamide
英文別名 Thioisonicotinamide;Isothionicotinamide;4-thiocarbamoylpyridine;ThioisonicotinaMide;4-Pyridylthiocarboxamide;pyridine-4-thioamide;Pyridine-4-carbothioamide;Isonicotinic acid thioamide;4-PYRIDINECARBOTHIOAMIDE;Thio-4-pyridinecarboxamide;4-Pyridylthioamide;Isonicotinamide,thio;
CAS號(hào) 2196-13-6
合成路線:
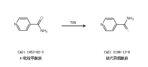
1.通過4-吡啶甲酰胺合成硫代異煙酰胺,收率約70%;

2.通過4-氰基吡啶合成硫代異煙酰胺,收率約96%;

中華試劑網(wǎng)提醒:合成路線僅供參考