基本信息:
中文名稱 N,N''-二叔丁氧羰基-L-組氨酸
中文別名 N,N’-二叔丁氧羰基-L-組氨酸;
英文名稱 (2S)-2-[(2-methylpropan-2-yl)oxycarbonylamino]-3-[1-[(2-methylpropan-2-yl)oxycarbonyl]imidazol-4-yl]propanoic acid
英文別名 1-(t-butoxycarbonyl)-N-(t-butoxycarbonyl)-L-histidine;Boc-L-His(Boc);N,1''-bis[(1,1-dimethylethoxy)carbonyl]-L-histidine;Boc-His(Boc)-OH;Boc-His(Boc);Boc-His(Boc)-OH.DCHA;N,1-Bis-Boc-L-histidine;N,N''-Di-tert-butoxycarbonyl-L-histidine;(S)-3-(1-(tert-Butoxycarbonyl)-1H-imidazol-4-yl)-2-((tert-butoxycarbonyl)amino)propanoic acid;
CAS號 20866-46-0
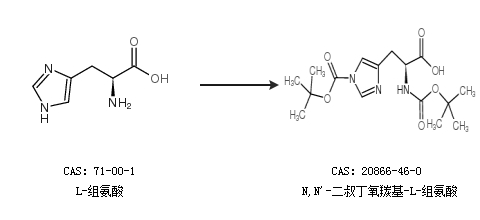
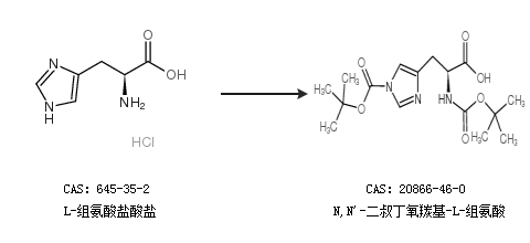
合成路線:
1.通過L-組氨酸合成N,N''-二叔丁氧羰基-L-組氨酸

2.通過L-組氨酸鹽酸鹽合成N,N''-二叔丁氧羰基-L-組氨酸

合成路線僅供參考