基本信息:
中文名稱 2-氯-4-氟苯酚
中文別名 1-溴-2,3,5-三氟苯;鄰氯對氟苯酚;2-氯-6-氟苯酚;4-氟-2-氯苯酚;
英文名稱 2-Chloro-4-fluorophenol
英文別名 1-Bromo-2,3,5-trifluorobezene;Phenol,2-chloro-4-fluoro;2-chloro-4fluorophenol;2-Chlor-4-fluor-phenol;2-CHLOR-4-FLUOROPHENOL;2-Chloro-4-fluorophe;4-FLUORO-2-CHLOROPHENOL;2-Chloro-6-fluorophenol;2-Choro-4-fluorophenol;
CAS號 1996-41-4
合成路線:
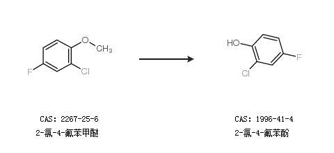
1.通過2-氯-4-氟苯甲醚合成2-氯-4-氟苯酚

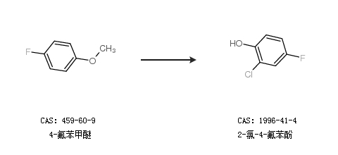
2.通過4-氟苯甲醚合成2-氯-4-氟苯酚

中華試劑網(wǎng)提醒:合成路線僅供參考