基本信息:
中文名稱 2-氯-4’-硝基乙酰苯胺
中文別名 2-氯-4''-硝基乙酰苯胺;2-氯-4''-硝基乙酰苯胺;N1-(4-硝基苯基)-2-氯乙酰胺;2-氯-N-(4-硝基苯基)乙酰胺;
英文名稱 2-chloro-N-(4-nitrophenyl)acetamide
英文別名 2-Chloro-4''-nitroacetanilide;Acetanilide,2-chloro-4''-nitro;p-nitro-N-chloroacetylaniline;N-(4-nitrophenyl)-2-chloroacetamide;2-Chloro-N-(4-nitrophenyl)-acetamide;Acetamide,2-chloro-N-(4-nitrophenyl);3-chloro-N-(3-nitrophenyl)propanamide;N1-(4-Nitrophenyl)-2-chloroacetamide;
CAS號(hào) 17329-87-2
合成路線:
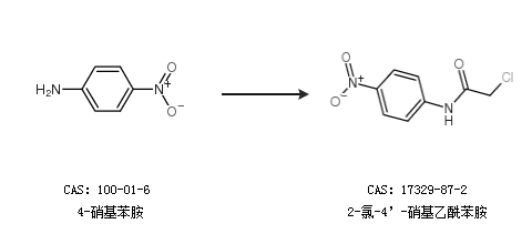
1.通過4-硝基苯胺和一氯代乙酰氯合成2-氯-4’-硝基乙酰苯胺,收率約94%;

2.通過4-硝基苯胺合成2-氯-4’-硝基乙酰苯胺

中華試劑網(wǎng)提醒 合成路線僅供參考